Beranda
/ Mencari Modus Data Kelompok / Mencari Nilai Mean Median Dan Modus Dalam Data Kelompok Rizky Pratama : Namun untuk mencari mencari nilai modus pada data kelompok perlu menggunakan sebuah rumus seperti persamaan di bawah ini.
Mencari Modus Data Kelompok / Mencari Nilai Mean Median Dan Modus Dalam Data Kelompok Rizky Pratama : Namun untuk mencari mencari nilai modus pada data kelompok perlu menggunakan sebuah rumus seperti persamaan di bawah ini.
Mencari Modus Data Kelompok / Mencari Nilai Mean Median Dan Modus Dalam Data Kelompok Rizky Pratama : Namun untuk mencari mencari nilai modus pada data kelompok perlu menggunakan sebuah rumus seperti persamaan di bawah ini.. Namun nilai yang dihasilkan dari nilai tengah kelas interval ini adalah nilai yang kasar. Cara mencari nilai modus data kelompok tidak semudah mencari nilai modus pada data tunggal. Mencari interval kelas (i atau p) untuk membuat data tersebut menjadi berkelompok, kita tentukan dahulu berapa interval kelasnya. Tapi pada artikel kali ini saya akan berfokus pada penjelasan rumus mean data kelompok, rumus median data kelompok, rumus modus data kelompok saja. Untuk mendapatkan nilai modus data kelompok dapat menggunakan sebuah rumus.
D1 110 n d2 210 n d3 310 n. Modis trebagi atas dua bentuk yaitu ,yaitu modus data tunggal dan modus data kelompok. Contoh soal mean data kelompok beserta jawabannya. Banyaknya data yang diperoleh dari sebuah penelitian, sering disajikan dalam data kelompok. Diketahui data sebagai berikut, hitunglah mean, median dan.
Contoh Soal Median Data Kelompok Contoh Soal Terbaru from lh6.googleusercontent.com Modis trebagi atas dua bentuk yaitu ,yaitu modus data tunggal dan modus data kelompok. Cara mencari nilai modus data kelompok tidak semudah mencari nilai modus pada data tunggal. Median adalah nilai tengah dari suatu data. Modus data berkelompok bisa ditentukan berdasarkan nilai tengah kelas interval yang memiliki frekuensi terbanyak. Nah, begitulah cara untuk membuat tabel distribusi frekuensi dan cara mencari modus, median dan mean dari data tunggal maupun kelompok. Tapi pada artikel kali ini saya akan berfokus pada penjelasan rumus mean data kelompok, rumus median data kelompok, rumus modus data kelompok saja. Data berkelompok merupakan data yang. Contoh soal mean data kelompok beserta jawabannya.
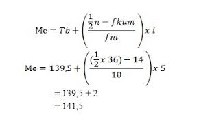
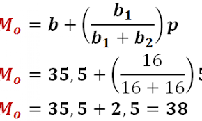
Untuk menghitung nilai modus data kelompok perlu diketahui batas bawah kelas modus (tb), selisih kelas modus dengan sebelum kelas modus (d 1), selisih kelas modus dengan setelah kelas modus (d 2), dan panjang kelas (ℓ).
Median merupakan nilai data tengah, median dalam data kelompok memiliki rumus yang sama dengan mencari q2 ( kuartil 2 ), yaitu : Sedangkan modus adalah nilai yang paling banyak muncul dari suatu data. Pada data tunggal, penghitungan median cukup mudah. Selain itu saya juga telah mempersiapkan contoh soal sebagai bahan latihan. Adapun rumus mencari berapa mean, median, dan modus perhitungan data tunggal tidak sama dengan konsep mean, rumus median, maupun rumus modus dari data kelompok. Sehingga, nilai modus data kelompok tidak mudah untuk langsung didapat. Cara mencari nilai modus data kelompok tidak semudah mencari nilai modus pada data tunggal. Modus data berkelompok bisa ditentukan berdasarkan nilai tengah kelas interval yang memiliki frekuensi terbanyak. Dari perhitungan tersebut kita dapat mengetahui bahwa mean atau rata rata dari data tersebut adalah 8,07 yang kemudian dibulatkan menjadi 8. Nilai modus untuk data yang disajikan dalam distribusi frekuensi berkelompok tidak dapat tepat, tetapi hanya merupakan nilai pendekatan. Modus dari data diatas ialah 5 dan 7, hal ini disebut bimodal karena memiliki 2 modus. Mencari modus untuk sebuah data kelompok sedikit berbeda dengan data tunggal. Sehingga, nilai modus data kelompok tidak mudah untuk langsung didapat.
Dari perhitungan tersebut kita dapat mengetahui bahwa mean atau rata rata dari data tersebut adalah 8,07 yang kemudian dibulatkan menjadi 8. Modis trebagi atas dua bentuk yaitu ,yaitu modus data tunggal dan modus data kelompok. Tapi pada artikel kali ini saya akan berfokus pada penjelasan rumus mean data kelompok, rumus median data kelompok, rumus modus data kelompok saja. Selain itu saya juga telah mempersiapkan contoh soal sebagai bahan latihan. Sebagai contoh, modus untuk data 5 4 6 8 5 1 3 5 7 adalah 5 karena kemunculan 5 dari data tersebut yang paling sering.
Rumus Rata Rata Mean Median Dan Modus Data Kelompok Statistik from 3.bp.blogspot.com Untuk mendapatkan nilai modus data kelompok dapat menggunakan sebuah rumus. Untuk data berkelompok bisa disajikan dengan bentuk tabel distribusi frekuensi. Banyaknya data yang diperoleh dari sebuah penelitian, sering disajikan dalam data kelompok. Mencari modus untuk sebuah data kelompok sedikit berbeda dengan data tunggal. Median merupakan nilai data tengah, median dalam data kelompok memiliki rumus yang sama dengan mencari q2 ( kuartil 2 ), yaitu : Jadi interval kelasnya 10 6. Rumus mean, median, dan modus data kelompok adalah bahasan materi statistika dalam analisis ukuran pemusatan data. Nah, begitulah cara untuk membuat tabel distribusi frekuensi dan cara mencari modus, median dan mean dari data tunggal maupun kelompok.
Rumus mean, median, dan modus data kelompok adalah bahasan materi statistika dalam analisis ukuran pemusatan data.
Nilai modus dari penyajian data kelompok berada pada interval kelas dengan frekuensi paling tinggi. Nilai modus untuk data yang disajikan dalam distribusi frekuensi berkelompok tidak dapat tepat, tetapi hanya merupakan nilai pendekatan. Semoga bisa menambah pengetahuan dan bermanfaat ya. Hal ini dikarenakan penyajian data kelompok yang disajikan dalam sebuah rentang kelas. Sehingga, nilai modus data kelompok tidak mudah untuk langsung didapat. Rumus mean, median, dan modus data kelompok adalah bahasan materi statistika dalam analisis ukuran pemusatan data. 09012021 rumus mean median dan modus data kelompok contoh soal banyaknya data yang diperoleh dari hasil sebuah penelitian sangat sering untuk disajikan dalam data kelompok. Tb tepi bawah kelas modus kelas dengan frekuensi yang paling tinggi d1 selisih antara frekuensi modus fm dengan frekuensi sebelumnya fb. 31032021 posting pada rumus matematika sma ditag cara mencari kuartil 1 2 3 data berkelompok contoh soal desil contoh soal kuartil data tunggal dan jawabannya contoh soal mean median modus kuartil desil persentil pengertian desil pengertian desil dalam statistik simpangan baku data tunggal simpangan kuartil. K= 1 + 3,3 log n = 1 + 3,3 log 75 = 1 + 6,18 = 7,18 ~ 7 maka, 5. Median adalah nilai tengah dari suatu data. Sebagai contoh, modus untuk data 5 4 6 8 5 1 3 5 7 adalah 5 karena kemunculan 5 dari data tersebut yang paling sering. Namun sebelum masuk pada pembahasan diatas, anda harus tahu dulu bentuk penyajian dari data kelompok.
Data berkelompok merupakan data yang. Tb tepi bawah kelas modus kelas dengan frekuensi yang paling tinggi d1 selisih antara frekuensi modus fm dengan frekuensi sebelumnya fb. 20210216 rumus mean median dan modus data kelompok contoh soal banyaknya data yang diperoleh dari hasil sebuah penelitian sangat sering untuk disajikan dalam data kelompok. Cara mencari nilai modus data kelompok tidak semudah mencari nilai modus pada data tunggal. Modus ialah nilai data yang paling sering muncul atau data yang memiliki nilai frekuensi paling tinggi.untuk mencari nilai modus pada data tunggal sangat mudah,yaitu dengan cara mencari nilai data dengan frekuensi paling banyak.namun untuk mencari mencari nilai modus pada data kelompok tidak lah semudah kita mencari nilai modus pada data tunggal.
Pelajaran Soal Rumus Modus Data Berkelompok Wardaya College from www.wardayacollege.com Bahkan untuk penghitungan statistik dan statistika penggunaan mean ini dianggap sebagai ukuran tendensi sentral dari. Cara mencari mean jika diketahui data kelompokcontoh: D1 110 n d2 210 n d3 310 n. 20210216 rumus mean median dan modus data kelompok contoh soal banyaknya data yang diperoleh dari hasil sebuah penelitian sangat sering untuk disajikan dalam data kelompok. Cara mencari nilai modus data kelompok tidak semudah mencari nilai modus pada data tunggal. Modis trebagi atas dua bentuk yaitu ,yaitu modus data tunggal dan modus data kelompok. Nah, begitulah cara untuk membuat tabel distribusi frekuensi dan cara mencari modus, median dan mean dari data tunggal maupun kelompok. Pada data tunggal, penghitungan median cukup mudah.
Namun pada data berkelompok, cara tersebut tidak bisa digunakan.
Mencari interval kelas (i atau p) untuk membuat data tersebut menjadi berkelompok, kita tentukan dahulu berapa interval kelasnya. Contoh soal mean data kelompok beserta jawabannya. Modus adalah data yang frekuensinya paling sering muncul. Hal ini dikarenakan penyajian data kelompok yang disajikan dalam sebuah rentang kelas. Nilai modus untuk data yang disajikan dalam distribusi frekuensi berkelompok tidak dapat tepat, tetapi hanya merupakan nilai pendekatan. Hal ini dikarenakan penyajian data kelompok yang disajikan dalam sebuah rentang kelas. Cara mencari nilai modus data kelompok tidak semudah mencari nilai modus pada data tunggal. Tb tepi bawah kelas modus kelas dengan frekuensi yang paling tinggi d1 selisih antara frekuensi modus fm dengan frekuensi sebelumnya fb. Data diurutkan berdasarkan nilai datanya mulai dari yang terkecil sampai yang terbesar. = tepi bawah kelas medus. Sebagai contoh, modus untuk data 5 4 6 8 5 1 3 5 7 adalah 5 karena kemunculan 5 dari data tersebut yang paling sering. K= 1 + 3,3 log n = 1 + 3,3 log 75 = 1 + 6,18 = 7,18 ~ 7 maka, 5. Untuk mendapatkan nilai modus data kelompok dapat menggunakan sebuah rumus sebagai berikut.
Berbagi
Posting Komentar
untuk "Mencari Modus Data Kelompok / Mencari Nilai Mean Median Dan Modus Dalam Data Kelompok Rizky Pratama : Namun untuk mencari mencari nilai modus pada data kelompok perlu menggunakan sebuah rumus seperti persamaan di bawah ini."
Posting Komentar untuk "Mencari Modus Data Kelompok / Mencari Nilai Mean Median Dan Modus Dalam Data Kelompok Rizky Pratama : Namun untuk mencari mencari nilai modus pada data kelompok perlu menggunakan sebuah rumus seperti persamaan di bawah ini."